Área : MATEMÁTICA
Profesor: CARLOS TIRADO
Año escolar : 2020-2021. 2do LAPSO.
FECHA DE ENTREGA 09/02/2021
¿Qué son las ecuaciones y ejemplos?
Se denomina ecuación a una igualdad
matemática entre dos expresiones algebraicas en las cuales aparecen valores
conocidos y otros desconocidos. Por ejemplo: x + 7 = 32
¿Cómo se resuelven las ecuaciones?
Pasos para resolver una
ecuación lineal
1.
1 Quitar paréntesis.
2.
2 Quitar denominadores.
3.
3 Agrupar los términos en x en un
miembro y los términos independientes en el otro.
4.
4 Reducir los términos semejantes.
5.
5 Despejar la incógnita.
¿Cuáles
son los tipos de ecuaciones?
Tipos de ecuaciones
·
Ecuaciones algebraicas. De primer grado o lineales. De segundo grado o cuadráticas.
...
·
Ecuaciones trascendentes, cuando involucran funciones no polinómicas, como
las funciones trigonométricas, exponenciales, logarítmicas, etc.
·
Ecuaciones diferenciales. Ordinarias. ...
·
Ecuaciones integrales.
·
Ecuaciones funcionales.
¿Qué es una incógnita y un ejemplo?
En matemáticas, una incógnita es
un elemento constitutivo de una expresión matemática. ... En el caso de una ecuación, es un valor tal que,
al sustituirlo por la incógnita,
se verifica la igualdad; en este caso se le llama solución. La incógnita también es utilizada en
otros casos, como por ejemplo una
inecuación.
¿Que son y para qué sirven las ecuaciones?
Las ecuaciones son igualdades algebraicas que guardan una
relación entre cantidades cuyos valores son desconocidos y sirven para resolver problemas.
... Una ecuación expresa, mediante una igualdad algebraica, una relación entre
cantidades cuyo valor, de momento, no conocemos.
¿Qué significan las letras en las ecuaciones?
Una ecuación es una igualdad en la
cual hay términos conocidos y términos desconocidos. El término desconocido se
llama incógnita y se representa generalmente por las últimas letras del abecedario: “x”, “y” o
“z”, aunque puede utilizarse cualquiera otra letra. ... El exponente indica el grado de la ecuación .
¿Qué importancia tienen las ecuaciones en la vida cotidiana?
Las ecuaciones se usan en la vida diaria en finanzas, matemáticas, etc. Las ecuaciones: son fundamentales en
la vida diaria pues
nos permite determinar un valor especifico a partir de ellas, o despejar una
incógnita, se usan en una gran cantidad de áreas como finanzas, matemáticas,
contabilidad, etc.
¿Por qué es importante las ecuaciones?
Pocos saben que las ecuaciones matemáticas, ayudan a
desarrollar la capacidad creativa del intelecto y ayudan a resolver
problemas de la vida
cotidiana con mayor celeridad.
¿Qué casos cotidianos podrías resolver con un sistema de ecuaciones?
las ecuaciones en la cotidianidad pueden servir para: compras,
deudas y saldo disponible, repartición de algo, siendo temas como el dinero,
tiempo, temperatura, entre otros.
TIPOS DE ECUACIONES
Ecuación de Primer grado: la
incógnita tiene como exponente
al número 1. ...
Ecuación de Segundo grado: la
incógnita tiene como exponente
al número 2. ...
Ecuación de Tercer grado: la
incógnita tiene como exponente
al número 3. ...
Ecuación de Cuarto grado o
Bicuadrática: la incógnita tiene como exponente
al número 4.
¿Cuál es el sistema de ecuaciones?
En matemáticas, un sistema de ecuaciones algebraicas
es un conjunto de ecuaciones con
más de una incógnita que conforman un problema matemático que consiste en
encontrar los valores de las incógnitas que satisfacen dichas operaciones.
Partes de una
ecuación
Las ecuaciones están formadas por
diferentes elementos. Veamos cada uno de ellos.
Cada ecuación tiene dos miembros,
y estos se separan mediante el uso del signo igual (=).
Cada miembro está conformado por términos,
que corresponden a cada uno de los monomios.
Los valores de cada monomio de
la ecuación pueden ser de diferente tenor. Por ejemplo:
·
constantes;
·
coeficientes;
·
variables;
·
funciones;
·
vectores.
Las incógnitas, es decir, los valores
que se desean encontrar, se representan con letras. Veamos un ejemplo de
ecuación:
Ecuaciones de primer grado
En
esta página vamos a resolver ecuaciones
de primer grado paso a paso. Comenzaremos con ecuaciones muy
simples e iremos aumentando su dificultad. En las ecuaciones tendremos sumas,
restas, productos y cocientes de monomios sin parte literal (es decir, números)
y de monomios con la parte literal x (como 2x ó 3x2).
Resolver una ecuación consiste
en encontrar el valor que debe tomar la incógnita x para que se
cumpla la igualdad. Podemos comprobar si la solución encontrada es correcta
sustituyendo la incógnita x por la solución. Como regla general, una
ecuación de primer grado tiene una única solución. No obstante, puede darse el
caso de que no exista ninguna o
que existan infinitas (veremos algún ejemplo de estos casos).
Ecuación 1
Para resolver la ecuación, debemos
pasar los monomios que tienen la incógnita a una lado de la igualdad y los que
no tienen la incógnita al otro lado.
Como 8 está restando en la derecha,
pasa sumando al lado izquierdo:
Como x está restando en la izquierda, pasa Sumando a la derecha:
Ahora que ya tenemos separados los monomios con y sin la incógnita, podemos sumarlos. En la izquierda, sumamos 2+8 y, en la derecha, x+x:
Para ver con claridad el paso siguiente, escribimos 2.X como un producto:Para terminar, debemos pasar el coeficiente de la incógnita (el número 2 que multiplica a x) al lado izquierdo. Como el número 2 está multiplicando, pasa dividiendo:
Simplificando la fracción,Por tanto, la solución de la ecuación es x=5 , x=5. Para comprobar la solución, sustituimos x por 5 en la ecuación original:
Ecuación 2
Escribimos los monomios con incógnita
en la izquierda y los que no tienen incógnita en la derecha.
Como 5x está sumando
en la derecha, pasa restando a la izquierda. El número 1 de la izquierda está
restando, así que pasa sumando al otro lado:
Sumamos los monomios en cada lado:
Finalmente, simplificamos la fracción:
Comprobamos la solución sustituyendo en
la ecuación:
Ecuación 3
Escribimos en la izquierda los términos
que tienen la incógnita y en la derecha los que no la tienen:
Hemos obtenido una obviedad. Esto
significa que la incógnita puede tomar cualquier valor. Por tanto, todos los
números reales son solución de la ecuación:
Ecuación 4
En esta ecuación tenemos un paréntesis.
Un paréntesis sirve para representar que una misma operación se aplica a un
grupo de monomios. El número que está delante del paréntesis está multiplicándolo,
así que podemos escribir la ecuación como:
En la ecuación, el paréntesis nos dice
que debemos multiplicar los monomios 1 y 2x 2x por 2.
Por tanto, podemos eliminar el
paréntesis escribiendo su significado:
Finalmente, resolvemos la ecuación
anterior:
Ecuación 5
Eliminamos el paréntesis del mismo modo
que hicimos en la Ecuación 4, pero no debemos olvidar que uno de los sumandos
del paréntesis tiene signo negativo:
Ecuación 7
Generalmente, es mucho más rápido resolver ecuaciones sin fracciones. Como siempre podemos multiplicar una ecuación por un número distinto de 0, la multiplicamos por 3
Hemos multiplicado por 3 porque es el denominador de las dos fracciones y, por tanto, se anulan los denominadores.
Ecuación 8
Si multiplicamos por 3 la ecuación,
desaparecen las fracciones cuyo denominador es 3. Pero quedará la fracción cuyo
denominador es 2. Para eliminar los denominadores de un solo paso,
multiplicamos la ecuación por el mínimo
común múltiplo de los denominadores.
El mínimo común múltiplo de 2 y 3 es 6.
Por tanto, multiplicamos por 6 la ecuación:
Ecuación 9
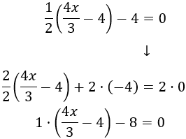
En esta ecuación tenemos una fracción, pero está multiplicando al paréntesis. Podemos multiplicar toda la ecuación por su denominador o bien operar con ella. Nosotros escogemos la segunda opción por variar de procedimiento.
Eliminamos el paréntesis multiplicando
sus sumandos por el coeficiente 1/2:
La solución de la ecuación es 0
Ecuación 10
Eliminamos el paréntesis:
Calculamos los productos y resolvemos
la ecuación. Recordad que debemos aplicar la regla de los signos:
Hemos obtenido una igualdad falsa. Esto
significa que no existe ningún valor para x que haga que la
ecuación se cumpla. Por tanto, la
ecuación no tiene ninguna solución.
Ecuación 11
Multiplicamos toda la ecuación por 2
para eliminar la fracción de la izquierda:´
Como el paréntesis está multiplicado por
1, es como si no estuviera:
EJERCICIOS. ACTIVIDAD EVALUATIVA
Resuelva los siguientes ejercicios aplicando los procedimientos descritos anteriormente
HASTA AQUÍ SE EVALUARÁ LA ACTIVIDAD #1
ACTIVIDAD #2
g)
x+2=4
g)
x-4=-3
i) x+2=2




























